lammps教程:born势参数设置及参数分享
来源:http://www.tudoupe.com时间:2022-05-22
嗨,我叫小马教练
Rammpsborn 参数设置技术在这里展示。
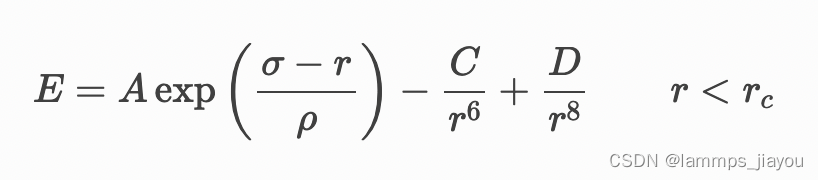
等值的 Bern 公式为 :

设定出生不需要积载文件,而是设定积载类型和参数。
下列趋势不要求使用Cullen武力:
计算与位置类型相对应的 kullen 力 :
下列参数按正确的顺序排列:
区参数可在参考文献中找到,现将广泛使用的区模拟参数汇编如下。

参考文件和代码下载链接 :
如果有好的文章或守则,将予以分享,如果有丰富的资源或分子模拟专门知识,将感谢各方的贡献。
Rammps是一个公共加油站。
相关新闻
- 2023-05-06 微pe怎么初始化U盘(微pe怎么恢复初
- 2023-05-06 Xp系统boot 进入pe(boot manager 怎么进入
- 2023-05-06 win pe修复bcdboot(pe修复系统)
- 2023-05-06 win7更新失败 pe(win7更新失败还原更
- 2023-05-06 u盘装了pe读取不了(u盘能进pe读取不
- 2023-05-06 u盘pe 发热(u盘发热烫手)
- 2023-05-06 u盘pe下看不到硬盘(u盘启动pe看不到
- 2023-05-06 pe盘 ntfs(u盘ntfs格式)
- 2023-05-06 sony笔记本进入pe模式(联想笔记本怎
- 2023-05-06 pe启动盘进不去(pe启动盘进不去系统
|
|
|
|
|
|
|
|
|
|
|
|
|
|
|
