opencv 不带角度模板匹配详解
来源:http://www.tudoupe.com时间:2022-03-16
文章目录
- 模板匹配
- i. 支持 Opencv 函数。
- 一. 方法匹配模板 ()
- 2.minMaxLoc()
- 二、代码示例:
模板匹配
模板匹配是一种定位图片范围(类似于模板图像)的技术。
匹配原理:
首先,我们需要两张照片。
一个来源图像 (I): 我们预计会找到一个与模板图像相对应的图片 。
一个模板图像: 将与源图像比较的图像( O) 。
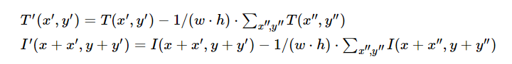
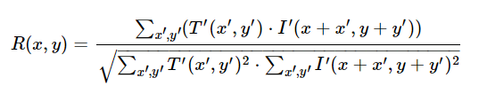
2.然后,我们的目的是确定最适当的领域:模板图片在原始图像上滑过 。从左到右,从上到下。在每个位置,计算一个度量值,是“好”或“差”的程度(或与源图片的某个区域相似之处),表明位置相符。匹配被保存在结果矩阵 R 中。R(x,y)的每个地方都有匹配的地方。
:3. 最后,在 R. Figure 中选择最佳位置如下: 最亮的位置代表最高匹配度。 红圆的位置很可能是最高值 。
i. 支持 Opencv 函数。
一. 方法匹配模板 ()
比较了模板和重叠的图片范围。
函数原型:
参数说明:
图像 : 查找有 8 或 32 个浮动点的正在运行的图形 。
搜索模板。 它不能大于原始图片, 必须具有相同的数据类型 。
流体: 包含比较结果的地图。 它必须是带有32位数字浮动点的单一频道 。
方法 : 如 # TemplateMatchModes 所述, 设置比较技术的设置 。
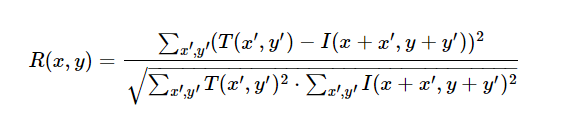
遮罩: 查找模板的遮罩。 它必须是与临时标记相同的数据类型和大小。 无法关闭临时文件夹:%s 目前, 只有两个匹配: TM_ SQDIFF 和 TM_ CCORR_ NORMED 。
目前,有六种选择可以这样做:
TM_SQDIFF
TM_SQDIFF_NORMED
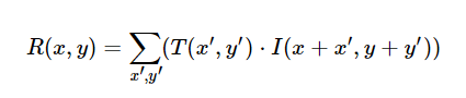
TM_CCORR
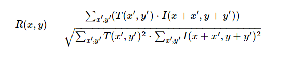
TM_CCORR_NORMED
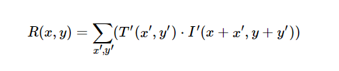
TM_CCOEFF

TM_CCOEFF_NORMED
除TM_SQDIFF和TM_SQDIFF_NornMED中计算的数字外,结果越高,匹配越高,价值越小,匹配越高。
2.minMaxLoc()
Opencv 的 MinMax Loc () 函数可用于查找最小和最大值及位置 。
函数原型:
参数说明:
将单个频道数组作为 src 输入 。
最小值 : 此指针返回最小值; 如果没有必要, 则使用 NULL 。
最大值 Val: 指针返回最大值; 如果不需要, 则使用 NULL 。
MinLoc:指针的最小位置(在2D的情况下);如有必要,使用NULL。
最大Loc: 指向最大返回点的指针( 在 2D 情况下); 必要时使用 NULL 。
面罩是一个可选的面罩。
二、代码示例:
程序运行效果:
模板:
结果图:



来源:https://docs.org。 * 目前的文件在送交联合国翻译部门之前没有改动。 html 我不知道该怎么办, 但我不知道该怎么办, 但我不知道该怎么办, 但我不知道该怎么办, 但我不知道该怎么办,
上一篇:【宝塔】安装sqlsrv扩展
下一篇:初识----TypeScript
相关新闻
- 2023-05-06 微pe怎么初始化U盘(微pe怎么恢复初
- 2023-05-06 Xp系统boot 进入pe(boot manager 怎么进入
- 2023-05-06 win pe修复bcdboot(pe修复系统)
- 2023-05-06 win7更新失败 pe(win7更新失败还原更
- 2023-05-06 u盘装了pe读取不了(u盘能进pe读取不
- 2023-05-06 u盘pe 发热(u盘发热烫手)
- 2023-05-06 u盘pe下看不到硬盘(u盘启动pe看不到
- 2023-05-06 pe盘 ntfs(u盘ntfs格式)
- 2023-05-06 sony笔记本进入pe模式(联想笔记本怎
- 2023-05-06 pe启动盘进不去(pe启动盘进不去系统
|
|
|
|
|
|
|
|
|
|
|
|
|
|
|
