OpenCV学习(73)
来源:http://www.tudoupe.com时间:2022-03-15
直方图对匹配(2)(2):直方图比较
i. 直方图比较摘要;
比较 Hist () 方法用于创建对比直方图 。
三. 直方图比较是方法的一个实例。
一,直方图对比概要
对于直方图来说,使用某些标准检查两个直方图之间的相似性的能力是一种必须具备的工具。为了比较两种直方图(如H和H),然后,必须选择直方图相似性(d(H,H2))的比较尺度。OnCV2.X in, X in, X in, X in, X in, X in, X in, X in, X in, X in, X in, X in, X in, X in, X in, X in, X in, X in, X in, X in, X in, X in, X in, X in, X in, X in, X in, X in, X in, X in, X in, X in, X in, X in, X in, X in, X in, X in, X in, X为了研究两种直方图的相似性,我们采用了比较高度方法。此函数的返回值为 d(H、H2)。
二,对比的直方图:对比 Hist () 函数
比较Hist () 方法比较了两个直方图。 C++ 原型有两个变体, 例如 :
前两个变量的直方图大小比较相同,第三个变量是选择的距离标准。以下四种方法可用于比较两个直方图(第一个是HI,第二个是H2):
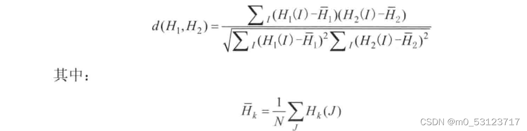
1, 关联(方法=CV_COMP_CORREL),

其中 N 是直方图(也称为“直线条”或“组范围”)中的文件夹数 。
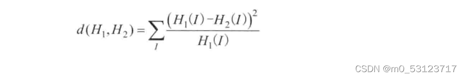
2,Chi-Square (方法=CV_COMP_CHISQR)

3. 直方图交叉路口、入口(方法=CV CompICTECT)

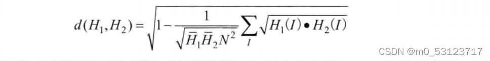
第4次,Bhattacharyya距离(方法=CV_COMP_Bhattacharyya)。
Bhattacharyya与Hellinger的距离有关, 他也可以写方法=CV Comp Hellinger。

四. 抽样程序:直方图比较
代码如下:
运行结果:




上一篇:OpenCV环境汇总
下一篇:如何把win10改成win8
相关新闻
- 2023-05-06 微pe怎么初始化U盘(微pe怎么恢复初
- 2023-05-06 Xp系统boot 进入pe(boot manager 怎么进入
- 2023-05-06 win pe修复bcdboot(pe修复系统)
- 2023-05-06 win7更新失败 pe(win7更新失败还原更
- 2023-05-06 u盘装了pe读取不了(u盘能进pe读取不
- 2023-05-06 u盘pe 发热(u盘发热烫手)
- 2023-05-06 u盘pe下看不到硬盘(u盘启动pe看不到
- 2023-05-06 pe盘 ntfs(u盘ntfs格式)
- 2023-05-06 sony笔记本进入pe模式(联想笔记本怎
- 2023-05-06 pe启动盘进不去(pe启动盘进不去系统
|
|
|
|
|
|
|
|
|
|
|
|
|
|
|
