OpenCV学习(62)
来源:http://www.tudoupe.com时间:2022-03-06
图像变换(16):直方图均衡化
一,直方图均衡化的简单理解;
二,直方图均衡化的概念和特点;
三,实现直方图均衡化:equalizeHist()函数;
四,示例程序:直方图均衡化;
一,直方图均衡化的简单理解
很多时候,我们用相机拍摄的照片的效果往往会不尽人意。这时,可以对这些图像进行一些处理,来扩大图像的动态范围。这种情况下最常用到的技术就是直方图均衡化。未经均衡化的图片范例如图7.41、7.42所示。

在图7.41中,我们可以看到,左边的图像比较淡,因为其数值范围变化比较小,可以在这幅图的直方图(图7.42)中明显地看到。因为处理的是8位图像,其亮度值是从О到255,但直方图值显示的实际亮度却集中在亮度范围的中间区域。为了解决这个问题,就可以用到直方图均衡化技术,先来看看其概念。
二,直方图均衡化的概念和特点
直方图均衡化是灰度变换的一个重要应用,它高效且易于实现,广泛应用于图像增强处理中。图像的像素灰度变化是随机的,直方图的图形高低不齐,直方图均衡化就是用一定的算法使直方图大致平和的方法。均衡化效果示例如图7.43、7.44所示。
简而言之,直方图均衡化是通过拉伸像素强度分布范围来增强图像对比度的一种方法。
均衡化处理后的图像只能是近似均匀分布。均衡化图像的动态范围扩大了,但其本质是扩大了量化间隔,而量化级别反而减少了,因此,原来灰度不同的象素经处理后可能变的相同,形成了一片相同灰度的区域,各区域之间有明显的边界,从而出现了伪轮廓。
在原始图像对比度本来就很高的情况下,如果再均衡化则灰度调和,对比度会降低。在泛白缓和的图像中,均衡化会合并一些象素灰度,从而增大对比度。均衡化后的图片如果再对其均衡化,则图像不会有任何变化。如图7.45、7.46所示。
通过图7.46可以发现,经过均衡化的图像,其频谱更加舒展,有效地利用了0一255的空间,图像表现力更加出色。
三,实现直方图均衡化:equalizeHist()函数
在OpenCV中,直方图均衡化的功能实现由 equalizeHist函数完成。我们一起看看它的函数描述。
第一个参数,InputArray类型的src,输入图像,即源图像,填Mat类的对象即可,需为8位单通道的图像。
第二个参数,OutputArray类型的 dst,函数调用后的运算结果存在这里,需和源图片有一样的尺寸和类型。
采用如下步骤对输入图像进行直方图均衡化。
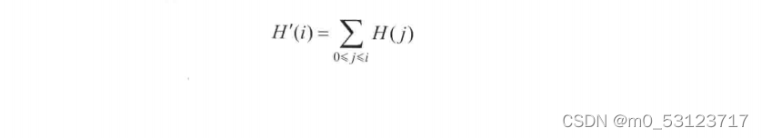
1)计算输入图像的直方图H。
2)进行直方图归一化,直方图的组距的和为255。
3)计算直方图积分:

4)以H`作为查询表进行图像变换:

言而言之,由 equalizeHist()函数实现的灰度直方图均衡化算法,就是把直方图的每个灰度级进行归一化处理,求每种灰度的累积分布,得到一个映射的灰度映射表,然后根据相应的灰度值来修正原图中的每个像素。
四,示例程序:直方图均衡化
代码如下:
运行结果:



相关新闻
- 2023-05-06 微pe怎么初始化U盘(微pe怎么恢复初
- 2023-05-06 Xp系统boot 进入pe(boot manager 怎么进入
- 2023-05-06 win pe修复bcdboot(pe修复系统)
- 2023-05-06 win7更新失败 pe(win7更新失败还原更
- 2023-05-06 u盘装了pe读取不了(u盘能进pe读取不
- 2023-05-06 u盘pe 发热(u盘发热烫手)
- 2023-05-06 u盘pe下看不到硬盘(u盘启动pe看不到
- 2023-05-06 pe盘 ntfs(u盘ntfs格式)
- 2023-05-06 sony笔记本进入pe模式(联想笔记本怎
- 2023-05-06 pe启动盘进不去(pe启动盘进不去系统
|
|
|
|
|
|
|
|
|
|
|
|
|
|
|
