C语言刷题——lesson5
来源:http://www.tudoupe.com时间:2022-05-22
一、BC41 - 你认为自己是个天才吗?
题目描述
指出智商超过140的人被视为天才, 因此请编程他的判断。 输入整数以表示一个人的智商, 或者, 如果大于或等于140, 输入整数以表示他是一个天才, 输出为“ Genius. 扩大智商超过140 的人被视为天才, 因此请编程他的判断。 输入整数以表示一个人的智商, 或者, 如果大于或等于140, 输入整数以表示他是一个天才, 输出为“ Genius ” 。
输入描述:
输出描述:
示例1
输入
输出
参考代码:
答案解析:
关于小组输入,必须处理许多组数据输入,然后分析循环如何结束。
方法1和2为多专题组投入提出了两种办法。
BC42 - 尚未完成的成绩
题目描述
请协助琪琪确定他的测试结果是否完美。 从键盘输入一个整数分, 用于检测分数是否在90到100之间, 如果是的话, 输出“ 完美 ” 。
输入描述:
输出描述:
示例1
输入
输出
参考代码:
答案解析:
多组输入。
数学中的
90<=score<=100里面写着C 充满虫子
三. BC43 - 高年级
题目描述
从键盘中随时输入整数分数,目的是确定分数是否在通过范围以内,如果通过是:分数大于60;是输出“Pass”,或输出“Failt”。
输入描述:
输出描述:
示例1
输入
输出
示例2
输入
输出
参考代码:
答案解析:
无
四、BC44 - 整数判断力
题目描述
请协助琪琪判断许多奇特。 如果您从键盘上写一个整数( 范围 - 2312321), 您可以编程来确定其奇特性 。
输入描述:
输出描述:
示例1
输入
输出
参考代码:
答案解析:
无
五. BC45 - 最高得分
题目描述
Kiki正在参加语言、数学和外语考试; 请协助他确定三个领域的最高分。 从键盘中输入任何三种实物分数,这些分数旨在产生最高分数。
输入描述:
输出描述:
示例1
输入
输出
参考代码:
答案解析:
多组输入
每组接受三个数字,达到最高值,因为得分不可能是负数,因此假定该期间开始时最高值为零。
六. BC46 - 识别元词和辅助词
题目描述
琪琪开始学习英文字母表波波先生告诉他字母A(a)、E(e)、I(i)、O(o)和U(u)。其余字母称为音节。请协助他创建软件,以检测所输入的信件是元音还是同音。
输入描述:
输出描述:
示例1
输入
输出
参考代码:
答案解析:
无
7个,BC47 -如果是一封信就去寻找
题目描述
Kiki 想知道输入的字符是否是字母。 请安排执行时间 。
输入描述:
输出描述:
示例1
输入
输出
参考代码:
答案解析:
这个问题和BC46是说明如何以所有三种方式利用它们的两个例子。
八. BC48 - 信箱转换
题目描述
Kiki想要完成字母大小写转换, 所以他有一个字符来决定它是大写字母还是, 如果是的话, 把它转换成小写字母; 相反的则把它转换成大写字母 。
输入描述:
输出描述:
示例1
输入
输出
参考代码:
答案解析:
当地,如BC46和BC47。
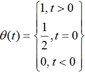
九. 职能BC50-Step
题目描述
Kiki最近完成了一个信号和系统课程,其中包括一个非常令人着迷的逐步功能,其中一项被定义为:

现在实验时间字段 t 上的单位脉冲函数值 。
输入描述:
输出描述:
示例1
输入
输出
参考代码:
答案解析:
无
十. BC51-三角决定
题目描述
琪琪想知道先前提供的三个边缘a、b、c是否可以形成三角形,如果可以的话,是什么样的三角形(对称三角形、交际三角形或普通三角形)。
输入描述:
输出描述:
示例1
输入
输出
参考代码:
答案解析:
因为三角形只有三面, 这就是如何找出规则 并玩很久。
相关新闻
- 2022-08-04 WPF的由来
- 2022-08-04 Win11勒索软件防护怎么打开?Win11安
- 2022-08-04 Windows系统jdk的配置
- 2022-08-04 Windows10 OneNote怎么重新登录?如何重
- 2022-08-04 超好用的 Windows 效率工具推荐
- 2022-08-04 Windows如何在CMD或PowerShell中配置代理
- 2022-08-04 powershell和cmd对比
- 2022-08-04 【QT】Windows下QT下载安装
- 2022-08-04 windows下 C++ 实现类属性的get和set方
- 2022-08-04 Win11快速助手在哪里?Win11打开快速
|
|
|
|
|
|
|
|
|
|
|
|
|
|
|
